The Water-Energy Nexus in France
Submitted in 2025 in fulfilment of the requirements of the Masters of Science (Global Environment & Sustainability) at Birkbeck, University of London.
3/15/202528 min read


PART I: CASE STUDY
1. EXECUTIVE SUMMARY
1.1 The water and energy nexus in France is best demonstrated by its highly developed nuclear and hydropower plants, which form the bedrock of France’s low-carbon energy mix. The Republic has made explicit commitments to increase the share of renewable energy (“RE”) in its energy mix and simultaneously cut down on the role of nuclear power in this context. To that end, material advancements have indeed been demonstrated in emissions reductions and energy efficiency.
1.2 To safeguard the transition toward lower emissions and a diminished reliance on nuclear energy – especially in light of climatic impacts and predictable increases in the demand for both energy and water – there may be value in supporting the application and exploration of technologies and practices such as treated wastewater and desalination which reduce and/or optimize the use of energy and water.
2. INTRODUCTION
2.1 Water is essential in energy production, and energy is required to inter alia pump and treat water. The term “water-energy nexus” represents the interconnectivity between the two systems (EEA 2019). The water-energy nexus in France is embodied in its primary sources of energy, i.e. nuclear and hydropower. In 2019, approximately half of France’s total energy supply was produced domestically, of which 79% comprised nuclear energy (IEA 2021). France’s installed hydroelectric capacity in 2020 ranked second in terms of production means behind its nuclear sector (Lemoine 2021). About 80% of French energy generation, retail, and operation is owned and/or controlled by Électricité de France (“EDF”) (IEA 2021). In metropolitan France alone, over 90% of the power of EDF’s electrical fleet is directly dependent on water (Tabary 2023).
3. USAGE TRENDS
3.1 In the past 50 years, water usage in France has increased steadily. Domestic water consumption rose from 106 to 150 litres per person per day from 1975 to 2024 (LaVie), together with a 23.7% rise in population during the same period (i.e. 52.45 million to 64.88 million) (Macrotrends). However, in the recent 20 years, total annual withdrawals have actually declined save in agriculture (MTEL 2021). Water usage across the Republic is primarily devoted to agriculture (45%), following by the cooling of power plants (31%), drinking water (21%), and industry (4%) (MTEL 2021).
3.2 The energy sector, particularly nuclear and hydroenergy, depends fundamentally on water. In 2024, 47% of water in mainland France and Corsica was consumed by the energy sector, especially by nuclear power plants in the Rhône-Méditerranée area (France Strategié 2024). The cooling of nuclear and thermal power plants takes up approximately 12% of fresh water consumption annually in metropolitan France (Tabary 2023).
3.3 On a national level, French energy consumption between 1965 and 2023 grew by about 79% from 1,347 terawatt-hours (“TWh”) to 2,407 TWh (Ritchie, Roser, and Rosado 2022). The following table summarizes the changes in consumption by proportion and source.


3.4 While oil product consumption has been decreasing year on year (i.e. 30% since 2001), today, over 60% of such consumption corresponds to the transport sector (Enerdata). Many individuals depends on diesel, especially those operating trucks, taxis, buses, and ambulances (Andriosopoulos and Silvestre 2017).
3.5 Gas plays an integral role in the building sector. Almost half of national gas consumption was for buildings (47%), with 31% used by industry and 16% by power plants (Enerdata). It has become especially important in heating dwellings – in 2014, 46% of dwellings were heated with gas, 34% by electricity, and 16% by oil (Andriosopoulos and Silvestre 2017). Indeed, due to the prevalence of electric heating, the French use 13% more electricity than the EU average on a per person basis (Enerdata).
3.6 Despite a growing population, annual water withdrawals have fallen at an average rate of 1.3% per year since 2008 (MATTE 2023). This connection is associated with the reduced use of power generation plants, in turn necessitating water used for cooling purposes (MATTE 2023).
4. SUPPLY & DEMAND CHALLENGES
4.1 36% of water distributed in France originates from surface water, with the remainder from groundwater across 30,000 collection points (BRGM 2024). The country receives a comfortable volume of rainfall (i.e. 1,000 mm on average per annum or over 20m3 per inhabitant); however, 60% dissipates through plant-related evapotranspiration or surface evaporation (d’Arras 2023). While supply suffices in an average year, water stress has been increasing and is expected to continue especially in southern provinces due to socio-economic development and climatic impacts; indeed, more frequent summer droughts have resulted in irrigation-related water and groundwater requirements surpassing supply (Rey et. al. 2019; BRGM-1).
4.2 National energy production between 1985 and 2023 has seen an upswing of about 52% from 337.67 TWh to 514.11 TWh (Ritchie, Roser, and Rosado 2022). The following table summarizes the changes in production by proportion and source.


4.3 In respect of supply and demand, the water-energy nexus manifests in the positive correlation between, on one hand, warmer temperatures and greater energy demand; and, on the other hand, warmer temperatures and lower nuclear and hydropower production.
4.4 Since 1900, the mean temperature in France has risen by 1.7°C, giving rise to higher energy demand both in the winter (for heating) and summer (for cooling) (IEA 2021). In addition, a 1°C rise in temperature between 1961 and 2010 has been observed to correspond to a decrease in just under 5% of annual water flow, illustrating the relationship between warmer temperatures and reduced flow volumes (Tabary 2023). It has been estimated that in 2022, total French electricity production reached its lowest levels since 1992 due to low nuclear and hydropower output; the difference between 2021 and 2022 output levels alone was a 15% reduction (RTE 2022).
4.5 From 1980 to 2020, the Republic reduced the role of coal in its energy mix from 1.389 (quad Btu) in 1980 to 0.248 (quad Btu) in 2021 (Bello and Ch’ng 2024). Overall greenhouse gas emissions fell by 20% from 2000 to 2020, with a 62% jump in RE generation during the same period (IEA 2021). However, as of 2020, RE in France remained 3.89% below its self-announced target of 23% of its energy consumption (Gontkovičová and Spišáková 2023). France is playing catch-up on its energy transition targets, especially in relation to transport-related GHG emissions (IEA 2021).
4.6 Water is indispensable in the operation of the main circuits of a pressurized water reactor nuclear power plant (Tabary 2023). The temperature of such water is important in the cooling process, and a lack of sufficient cool water can be detrimental to nuclear production. In 2003, EDF scaled down nuclear power production by reason of an extended heatwave, leading to the need to import electricity (UNESCO UN-Water 2020). Such a curtailment was again necessary in July 2018 (Magagna et. al. 2019).
4.7 Similarly, in the domain of hydroelectricity, water is vital in being turbined as the water flows, or is stored and then released for production when needed (Tabary 2023). Water availability and inflow rates are crucial for the feasibility of hydroelectricity production. Low water availability in 2016 and 2017 led to a cut in hydropower in France (IEA et. Al. 2020). In 2022 – the hottest year recorded in France since the 1900s – water availability reached its lowest levels since 1976 due to a long drought and exceptionally hot and dry weather conditions, which negatively impacted hydroelectric production (RTE 2022).
5. FUTURE CHALLENGES
5.1 The Explore 2070 project predicts widespread decline in recharging of water tables from 2050 to 2070, as well as reduced average river flow, higher saltwater levels, and up to 30% groundwater loss (BRGM 2012; Lemoine 2021). This could lead to groundwater contamination associated with over-abstraction and more intensified human activity (BRGM-1). A more recent study confirmed reduced hydrological flows, decreasing by between 10-40% (vis-à-vis the period between 1960 and 1990), and more intense low water levels (decline of 30-60%), all due to higher temperatures and evapotranspiration (Branche 2017; Tabary 2023).
5.2 Climatic impacts, compounded by continued economic development, is likely to bring about spiralling discord over water use and supply (Tabary 2023) as well as potential damage to infrastructure.
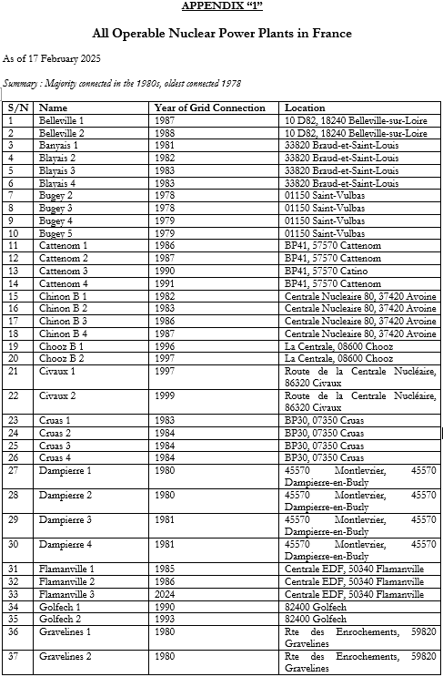
5.3 Given its stated goal of reducing its share of nuclear in power production from 70% (pre-COVID-19) to 50% by 2025 (Andriosopoulos and Silvestre 2017; Millot et. al. 2020; IEA 2021), as well as its target of boosting its share of RE to 45% by 2035 (IEA 2021), it will be crucial to ensure continuity and security of supply during this transition. This is especially so given the age of its current fleet of nuclear plants, most of which are around 45 years old (see Appendix “1”). There will also need to be greater clarity and consistency between France’s nuclear reduction targets and its actions, given that in the past 3 years the government has not only greenlit the construction of more nuclear reactors, but also committed investment into small modular reactor technologies (Caglar et. al. 2024).
5.4 France is expected to experience a significant augmentation in electricity peak demand (EEA 2019). This is associated with higher temperatures and associated cooling needs in the summer and heating in the winter (IEA 2021; EC 2023), continued population growth (15.7% growth between 2013 and 2070 from 66.1million to 76.5million) (Blanpain and Buisson 2016), and industrialization. Extreme heat events may also impact energy infrastructure.
5.5 There are likely to be high rates of withdrawal of freshwater for energy production (Magagna et. al. 2019). In addition, droughts, water scarcity, warmer sea temperatures. and rising sea levels (EC 2023) may impact the functioning of its nuclear plants, especially since France sits on the border of 4 seas, and 14 out of its 56 reactors (as of 2021) are located in coastal areas (IEA 2021) (see map at Part II below). Natural changes in the water cycle, the impact of climate change and changes in water usage are likely to have jointly given rise to lower hydroelectric production rates between 1960 to 2022; future losses of between 0.5 to 1 TWh per decade are also predicted as a result of higher air temperatures (Tabary 2023). Historically, water rivers and lower flows have already led to an average loss of 0.3% of annual nuclear production from 2000 to 2023 (EC 2023).
6. SWOT ANALYSIS
i. Water Governance
Local
Strengths: France enjoys high quality water supply and sanitation (“WSS”) services, and reliable WSS data collection and coordination (Barraqué et. al. 2022). Since enacting the 1964 Water Act (‘Loi n° 64-1245 du 16 décembre 1964 relative au régime et à la répartition des eaux et à la lutte contre leur pollution’; the “Water Act”), France is progressive in connecting water with other environmental issues, and in managing stakeholder engagement and sectoral conflict (Rowbottom et. al. 2022). The Water Act enshrines the river basin approach to water management, and, with subsequent decentralizing laws, establish a multi-strata governance approach (Rowbottom et. al. 2022). Long-term water extraction rights are held collectively by agricultural user organizations, underpinning social preferences and justice (Rouillard et. al. 2021).
Weaknesses: Local water management and development schemes (‘Schéma d’Aménagement et de Gestion de l’Eau’; “SAGE”) cover just over 50% of French territory; however, where SAGEs are in force, many municipalities are under-resourced and lack implementation capacity and political legitimacy (Barraqué et. al. 2022). Water pollution from agricultural sources has not been addressed or curtailed sufficiently, and/or has been offset by new zones of deteriorating water quality (Barraqué et. al. 2022). Inter-scalar water agency coordination is lacking specifically with regard to enforcement and financial governance (Barraqué et. al. 2022; Bellier & Taisne 2023), leading to ballooning costs and complexity (Colon et. al. 2018).
Opportunities: While local municipalities pay for and own WSS infrastructure and are liable for service delivery, the option to sub-contract certain services (Colon et. al. 2018) could pave the way for public-private partnership opportunities addressing the needs of each municipality. The merger of the national water agency (‘Office National de l'Eau et des Milieux Aquatiques’) with other public agencies to form the French Biodiversity Office (Rowbottom et. al. 2022) represents possibilities in adopting a nexus approach in formulating national policy. Local authorities could develop river basin ecological practices, and there could be a greater role to play for départements especially in rural regions (Colon et. al. 2018). The sanitation service may be useful circularly in generating energy (such as from biomethane) and recycled products (e.g. fertilizers) from treated wastewater (“TWW”), thereby simultaneously ameliorating pollution and reducing water use (Colas 2023).
Threats: In river basin committees, domestic users and civil society are under-represented, and farmers and industry over-represented (Zaporozhets 2015; Colon et. al. 2018; Barraqué et. al. 2022; Rowbottom et. al. 2022), leading to weakening consensus and lower participation (Barraqué et. al. 2022). Drinking water networks require improvements both in physical state and network access equality (Poupeau and O’Neill 2024) – these, combined with limited infrastructure renewal budgets may give rise to future issues (Barraqué et. al. 2022).
Regional
Strengths: France has been well placed since the enactment of the Water Act, and its river basin-focused water management approach, to implement the hydrographic framework of the 2000 EU Water Framework Directive (Barraqué et. al. 2022). Additionally, it participates actively in water diplomacy at the European level (FMEFA 2020) as well as internationally (IEA 2021).
Weaknesses: High water treatment costs – associated with compliance with the European Wastewater Directive (Council Directive 91/271/EEC of 21 May 1991 concerning urban waste-water treatment ) – and low transparency in cost allocation have been described as unfair to domestic users, although underlying data is publicly available (Barraqué et. al. 2022). France has also had disagreements with the European Commission in relation to the implementation of the 1991 Nitrates Directive (Council Directive 91/676/EEC of 12 December 1991 concerning the protection of waters against pollution caused by nitrates from agricultural sources), concerning alleged insufficient designation of vulnerable zones and non-compliance with action plans (Barraqué et. al. 2022)
Opportunities: French-Swiss water cooperation, which has evolved over a century from a monofunctional model to a multifunctional public-private hybrid as new water uses and rivalries emerge around the Rhône River (Bréthaut and Pflieger 2015), could serve as a model for other basin communities. In France, wastewater is only reused in certain regions, and there are only about 40 TWW reuse projects across the country (Ait-Mouheb et. al. 2018) – by exploring more uses of wastewater, for instance in cooling nuclear reactors or providing hydropower, there could be a synergistic chance to optimize water usage and also support EU water reuse rules (Regulation (EU) 2020/741 of 25 May 2020 on the minimum requirements for water reuse).
Threats: Glaciation and loss of glaciers in the Alps due to climate change may lower freshwater supplies in the Rhône and its tributaries, with an overall influence on regional ecosystems (CREA). Public opposition toward certain water management policies, such as water privatization (Le Monde 2022; Foreign Policy 2023), may pose a threat to future acceptance or transposition of EU reforms.
Global
Strengths: France promotes global water goals inter alia by its Integrated Water Resources Management model (FMEFA 2020). France’s commitment to international access to water and sanitation can be demonstrated by its involvement in inter alia the United Nations Economic Commission for Europe Protocol on Water and Health and through its donation of almost EUR300 million (2017-2018) to public and private water bodies in partner countries (France Diplomacy). The country also promotes regional efforts at cooperating in water policy, especially in respect of its former colonies in Asia and Africa (FMEFA 2020).
Weaknesses: Marine dead zones, caused by agricultural and industrial pollution runoff, and exacerbated by rise of sea level temperatures, may deepen their impact on coastal ecosystems in the Atlantic Ocean and beyond (Raimonet et. al. 2018). Due to France’s aging water pipe system, it loses about 23% of the water passing through its mains systems (Agenda 2030a; Université Paris-Saclay) – failure to modernize these systems may necessitate foreign import of water, which could further stress global frictions around access to water resources.
Opportunities: France could draw on lessons from overseas case studies such as Singapore (WEF 2022; PUB) and Israel (WRAP 2023) in desalination and recycling wastewater in order to boost water availability for instance for non-potable purposes as well as during dry periods. France and its regional partners may also share, with the international community, the knowledge acquired through the administration of the International Commission for the Protection of the Rhine. Through its overseas territories in the Indian and Pacific Oceans, France could also play an essential role in leveraging European diplomacy and know-how to facilitate and strengthen energy policy in the Indo-Pacific (CSIS 2021).
Threats: Actual or potential water shortages in France, especially in the agricultural sector, may reduce its food production for domestic consumption and international export, and, in the latter case, contribute to imbalance or insecurity in the global market. The prominence of global climate and environmental movements may continue to embolden and bolster local protest efforts, for instance against water reservoir projects (Politico 2023), contributing to political instability.
ii. Energy Governance
Local
Strengths: Access to energy and energy prices are uniform throughout the country (Andriosopoulos and Silvestre 2017), signalling on a broad degree of equality in access and affordability. France has the financial capacity and political will to augment the RE share in its energy mix, as evidenced by its planned investment of EUR 1 billion in RE innovation projects by 2030 (Bello and Ch’ng 2024).
Weaknesses: French nuclear energy policy has been described as controlled by elite technocratic and bureaucratic actors since 1955, to the detriment of public and private interests, after the creation of the Advisory Commission for the Production of Electricity from Nuclear Energy (‘Commission Consultative pour la Production d’Électricité d’Origine Nucléaire’) (Hornung 2023). On a corollary, the National Strategy for Energy Research has had limited engagement with leaders of the energy industry and technology sectors, and does not appear to involve industry or civil society in monitoring and evaluation activities (IEA 2021). There could therefore be issues of a lack of legitimacy, public acceptance, or citizen engagement in matters viewed to be beyond the control or ambit of the average French person or stakeholders in different domains.
Opportunities: Energy savings in French buildings may be challenging to achieve given the continued importance of central heating (Andriosopoulos and Silvestre 2017) – RE sources could be developed to bridge this gap. French cities may improve river water quality and thereby reduce energy demands in water treatment by limiting the use of pesticides and herbicides (Venkatesh, Chan, and Brattebø 2014:153), thereby synergistically assisting progress toward anti-pollution-, biodiversity-, water-, and energy-related targets.
Threats: France has an aging nuclear fleet (see Appendix “1”) which may necessitate closure, regardless of the Republic’s readiness, in the near future (Lebrouhi et. al. 2022), with the remainder modernized for the long term (IEA 2021). Its commitment to decommission 14 nuclear reactors may also beget energy security risks if RE deployment are not scaled up in time (IEA 2021). According to the IEA (2021), a two-pronged approach is needed, i.e. France needs to both accelerate RE investment and extend the lifetime of its existing nuclear reactors. This would support both its international environmental targets and obligations as well as ensure security of supply.
Regional
Strengths: The relatively low carbon emissions of France’s strong nuclear industry (WNA) advances EU and global climate goals. The French biofuel sector is also highly competitive as a result of lobbying the EU to permit more bioethanol and biodiesel in standard fuels, and this change could also be advantageous for other EU countries (Andriosopoulos and Silvestre 2017).
Weaknesses: The continued dominance of France’s energy flagship companies (e.g. EDF and GDF Suez), despite EU directives on energy market liberalization, may prompt further tensions around alleged economic nationalism (Andriosopoulos and Silvestre 2017). Without sufficient coordination, a scaling down of French nuclear production may provoke instability or reliance on fossil fuels in the region, given that France supplies half of the EU’s nuclear power (EEA 2019).
Opportunities: France could, as part of the European Green Deal (EC2), and Horizon Europe (EC3), attract investment as well as facilitate regional technology and knowledge transfer in RE and energy efficiency. It could also consider drawing reference from the EU Zero Pollution Action Plan in order to strengthen local legislative efforts.
Threats: To the extent that energy requires to be imported, a further geopolitical incident on the scale or in the nature of the Russian invasion of Ukraine could be the precipitating cause of another energy crisis, price spikes, and instability in regional supply (European Council).
Global
Strengths: France enjoys substantial energy independence and security, achieved by inter alia diversification of supply, as well as the development of its nuclear sector (Andriosopoulos and Silvestre 2017). By virtue of strong state support and an energy policy rooted in economic and financial foundations, French national flagship energy companies have become global industry leaders (Andriosopoulos and Silvestre 2017).
Weaknesses: France’s relatively slow rate of RE adoption, compared to its EU counterparts (IDDRI 2022) and its distance from its goals set in 2015 in RE, energy efficiency, and emissions reductions (IEA 2021), may detract from its credibility in the international negotiation arena. In a broader sense, the multi-layered, polycentric, and decentralized nature of French energy regulations and bureaucracy may hamper the swift implementation of its international obligations. To illustrate this point, there are between 4 to 5 administrative levels in the French government - national, regional, departmental, municipal, and/or local communes (Barraqué et. al. 2022).
Opportunities: France was one of the first countries in the world to commence its energy transition journey (IEA 2021). As a mature low-carbon economy entrenched in the energy transition, France is equal to the task of stepping up as a global leader in low-carbon energy and RE technologies, to build capacity and investment in less-developed countries, and to promote domestic innovation by inter alia reinforcing access to United Nations knowledge transfer and funding mechanisms. The Republic’s commitment to renewable energies can more recently be demonstrated in the French Green Hydrogen Plan 2020-203 which contained inter alia plans to invest EUR7 billion in the domestic green hydrogen sector (STIP Compass 2023); further, in 2021, the French government also announced its intention to lead international green hydrogen production (French Government 2021).
Threats: The digitalization and decentralization of energy infrastructure exposes France and the rest of the world to heightened cyber-security risks (Desarnaud 2017; ANSSI 2024), and will entail trade-offs in the form of higher energy demand for such systems, reduced accountability, legal and political complications around the storage and ownership of data (Heymann et. al. 2023). The availability of rare earth elements for the manufacture of electric vehicles and certain energy infrastructure in France may also be subject to geopolitical pressures in supplier countries, China and Russia being among the top 5 exporters (Fan et. al. 2023; NASDAQ 2025). The demand for and escalation of rare earth mining activities, also raises new concerns, on one hand, resulting in environmental and human rights consequences, while on the other hand underpinning the energy transition (Pitron 2022).
7. ASSESSMENT AGAINST SDGs
i. Water
7.1 The Republic’s advancement toward meeting SDG6 (‘Ensure availability and sustainable management of water and sanitation for all’) is on the whole positive with reference to assessed or assessable indicators, with a distinct area for improvement as regards collective sanitation compliance.
7.2 Concerning SGD6, France has performed favourably and is on track for achieving the SDG by 2030 in connection with the indicators ‘Distributed water that is non-compliant with microbiological parameters’ (1.5% of samples), ‘Compliance rate of non-collective sanitation system’ (63.4%), and ‘Volume of water withdrawals’ (a 9.4% decrease from 2015 to 2020) (Agenda 2030a). It has performed moderately favourably in the indicators ‘Efficiency of drinking water networks’ (81.5%) and ‘Proportion of local public water utilities with advisory committees (CCSPL) among those legally required to have them’ (96.4%) (Agenda 2030a).
7.3 As for the indicator in which there has been unfavourable performance (‘Compliance rate of collective sanitation systems with performance standards’), the latest value of 89% reflects a decrease of 8.8 points from 2016 to 2021; the remaining indicators were not assessable due to changes in law, monitoring methods, and insufficient data (Agenda 2030a).
ii. Energy
7.4 France’s advancement toward meeting SDG7 (‘Ensure access to affordable, reliable, sustainable and modern energy for all’) can be said to be mixed, with room to improve notably regarding RE, but performing positively on overall metrics.
7.5 The Republic is favourably on trend concerning the indicators ‘Final energy consumption’ (consuming 4.5% less in 2022 compared to 2017), and ‘Final energy intensity’ (a decrease of 3.1% in 2022) (Agenda 2030b). Moderately favourable performance was observed in respect of ‘Renewable energies in final energy consumption’ (20.7%, up 4.9 points since 2017) and ‘Fossil fuels in primary energy consumption’ (a fall of 12.4% from 2017) (Agenda 2030b).
7.6 As for the indicator ‘Inability to keep home adequately warm’, France’s performance at 10.2% has resulted in an unfavourable rating; in addition, this reflects a 3.5 point increment from 2020 to 2022 (Agenda 2030b).
iii. Water-Energy Nexus
7.7 As low-carbon energy sources, nuclear and hydropower are fundamental players in climate mitigation goals as well as preservation of the hydrological cycle, while the storage capacity and integrability of hydroelectric facilities with the production of other RE sources promote the transition away from fossil fuels in general (Tabary 2023). There is a general consensus and enthusiasm to nurture RE sources, both with regard to taxes and in research and development (Andriosopoulos and Silvestre 2017), which political momentum could well be capitalized upon. Adopting a nexus approach toward water and energy governance could therefore be helpful in helping France move ahead in fulfilment of the SDGs.
PART II: CONCLUSION
8. GIS MAP & RECOMMENDATIONS




8.1 As of February 2025, there are 57 operable nuclear reactors in France, which locations are depicted in the GIS map above. The vast majority are situated along watercourses and/or close to the coast. Nearshore plants are susceptible to the effects of sea level rise (see section C above) while those along watercourses may experience flood risk, as indicated in the legend above, and/or low water levels in times of drought or water scarcity.
8.2 In addition, there are 412 hydropower plants in France (including in Corsica, not pictured), most of which are located in the east and southeast (dataearth). A number of nuclear reactors are also located in the east and southeast, especially in the Provence-Alpes-Côte d’Azur (“PACA”) region bordering Monaco and Italy, which region “is particularly vulnerable to the risk of drought, due to its Mediterranean climate and the uneven distribution of water resources across the region” (BRGM 2024). PACA is already one of the hottest regions in France during the summer, and can expect at least 10 days per year with temperatures exceeding 35°C in coming years (RFI 2024).
8.3 There is an appreciable risk is these eastern and southeastern nuclear and hydro power plants may, on a national level, experience periods of low hydrological flow and/or higher water temperatures, thereby leading to reduced production capacity or even shutdown.
8.4 Given France’s commitment to reduce the share of nuclear energy in its energy mix (see section C above), in light of the risks and challenges highlighted herein, there may be a benefit in prioritizing the east and southeastern nuclear plants in the closure process, and/or deprioritizing the construction of new nuclear facilities in these areas.
8.5 The PACA region, with its proximity to the Mediterranean Sea, could also be a prime candidate for future desalination projects, affording cost- and energy-savings in the matter of transportation and pumping of saline water. To this end, the stakeholders in Metropolitan France could consult with and learn in real time from the builders and operators of the recently awarded contract for a new desalination plant in Mayotte, which is an overseas territory of France (Saur 2024). There is also an opportunity for the PACA region to become a wastewater treatment hub, building on the momentum following the recent inauguration of the Haliotis 2 wastewater treatment plant in Nice (SUEZ 2023).




References:-
1. Agenda 2030a. ‘Trends in France for achieving the Agenda 2030 sustainable development goals (SDG)’. The 2030 Agenda for Sustainable Development in France. Accessed on 1 March 2025. https://www.agenda-2030.fr/rosace/index2023-en.html?&ODD=6
2. Agenda 2030b. ‘Trends in France for achieving the Agenda 2030 sustainable development goals (SDG)’. The 2030 Agenda for Sustainable Development in France. Accessed on 1 March 2030. https://www.agenda-2030.fr/rosace/index2023-en.html?&ODD=7
3. Ait-Mouheb, N., Bahri, A., Ben Thayer, B., et. al. (2018). ‘The reuse of reclaimed water for irrigation around the Mediterranean Rim: a step towards a more virtuous cycle?’ Regional Environmental Change (2018) 18:693–705 https://doi.org/10.1007/s10113-018-1292-z
4. Andriosopoulos, K. and Silvestre, S. (2017). ‘French energy policy: A gradual transition’. Energy Policy 106 (2017) 376–381. http://dx.doi.org/10.1016/j.enpol.2017.04.015
5. Agence Nationale de la Sécurité des Systèmes d’Information (“ANSSI”). (2024). ‘Cyber Threat Overview 2023’. February 2024. ISSN: 2999-5612. https://www.cert.ssi.gouv.fr/uploads/CERTFR-2024-CTI-002.pdf
6. Aykut, S.C. (2019). ‘Reassembling Energy Policy: Models, Forecasts, and Policy Change in Germany and France’. Science & Technology Studies 32(4). 13-25. https://doi.org/10.23987/sts.65324
7. Barataud, F., Durpoix, A., Mignolet, C. (2014). ‘Broad analysis of French priority catchment areas: A step toward adaption of the Water Framework Directive?’ Land Use Policy 36 (2014) 427–440. http://dx.doi.org/10.1016/j.landusepol.2013.09.010
8. Barraqué, B., Barbier, R., and Laigneau, P. (2022). ‘France’s performance vis-a-vis the 12 OECD Principles on Water Governance’. Water International, 47:2, 160-180, DOI: 10.1080/02508060.2022.2043635.
9. Bellier, M. and Taisne, R. (2023). ‘Les collectivités et leurs groupements au cœur de l’adaptation de la gestion quantitative et qualitative de l’eau au changement climatique’. In: ‘Responsabilité & Environnement: L’eau et le changement climatique’. Annales des Mines, No. 112, October 2023. 42-46. Institut Mines Télécom. ISSN 2271-8052 (online)/ ISSN 1268-4783 (print). In French. https://www.annales.org/re/2023/re_112_octobre_2023.html
10. Bello, M.O., and Ch’ng, K.S. (2024). ‘Path to clean and sustainable energy from nuclear and renewable sources: Evidence from France’. Utilities Policy 88 (2024) 101764 https://doi.org/10.1016/j.jup.2024.101764
11. Branche, E. (2016). ‘The multipurpose water uses of hydropower reservoir: The SHARE concept’. C.R. Physique 18 (2017) 469-478. http://dx.doi.org/10.1016/j.crhy.2017.06.001
12. Bréthaut, C. and Pflieger, G. (2015). ‘The shifting territorialities of the Rhone River’s transboundary governance: a historical analysis of the evolution of the functions, uses and spatiality of river basin governance’. Reg Environ Change (2015) 15:549–558. DOI 10.1007/s10113-013-0541-4.
13. Blanpain, N., and Buisson, G. (2016). ‘Population projections to 2070’. Insee. 3 November 2016. Accessed on 19 February 2025. https://www.insee.fr/en/statistiques/2581288
14. Bureau de Recherches Géologiques et Minières. (“BRGM”). (2012). ‘Explore 2070 : rising to the climate change challenge’. 15 July 2012. Accessed on 17 February 2025. https://www.brgm.fr/en/reference-completed-project/explore-2070-rising-climate-change-challenge
15. BRGM. (2022). ‘Sea level rise: what kinds of coastlines do we want for tomorrow?’ 7 April 2022. Accessed on 17 February 2025. https://www.brgm.fr/en/news/article/sea-level-rise-kinds-coastlines-do-want-tomorrow
16. BRGM (2024.) ‘Groundwater and drought: the challenges ahead for local and regional communities’. 19 August 2024. Accessed on 9 February 2025. https://www.brgm.fr/en/news/article/groundwater-drought-challenges-ahead-local-regional-communities.
17. BRGM. (“BRGM-1”). ‘Groundwater management’. Accessed on 17 February 2025. https://www.brgm.fr/en/challenges/groundwater-management
18. Caglar, A.E., Gönenç, S., and Destek, M.A. (2024). ‘The influence of nuclear energy research and development investments on environmental sustainability: evidence from the United States and France’, International Journal of Sustainable Development & World Ecology, 31:7, 861-872, DOI: 10.1080/13504509.2024.2341797
19. Colas, A. (2023). ‘Face aux défis de l’eau, accélérer sur les solutions n’est plus une option’. In : ‘Responsabilité & Environnement: L’eau et le changement climatique’. Annales des Mines, No. 112, October 2023. 59-63. Institut Mines Télécom. ISSN 2271-8052 (online)/ ISSN 1268-4783 (print). In French. https://www.annales.org/re/2023/re_112_octobre_2023.html
20. Colon, M., Richard, S., and Roche, P-A. (2018). ‘The evolution of water governance in France from the 1960s: disputes as major drivers for radical changes within a consensual framework’, Water International, 43:1, 109-132, DOI: 10.1080/02508060.2018.1403013
21. CREA Mont Blanc Research Centre for Alpine Ecosystems (“CREA”). ‘Climate Change and its Impacts in the Alps’. Accessed on 26 February 2025. https://creamontblanc.org/en/climate-change-and-its-impacts-alps/
22. Centre for Strategic & International Studies (“CSIS”). (2021). ‘France: A Bridge between Europe and the Indo-Pacific?’ 1 April 2021. https://www.csis.org/analysis/france-bridge-between-europe-and-indo-pacific.
23. d’Arras, D. (2023). ‘Partage et solidarité à l’international?’ In : ‘Responsabilité & Environnement: L’eau et le changement climatique’. Annales des Mines, No. 112, October 2023. 23-25. Institut Mines Télécom. ISSN 2271-8052 (online)/ ISSN 1268-4783 (print). In French. https://www.annales.org/re/2023/re_112_octobre_2023.html
24. dataearth. ‘Hydro Power Plants in France’. Accessed on 24 February 2025. https://database.earth/energy/power-plants/hydro-power/france
25. Desarnaud, G. (2017). ‘Cyber Attacks and Energy Infrastructure: Anticipating Risks’. Études de l'Ifri. Ifri, January 2017. https://www.cert.ssi.gouv.fr/uploads/CERTFR-2024-CTI-002.pdf
26. Enerdata. ‘France Energy Information’. Accessed on 9 February 2025. https://www.enerdata.net/estore/energy-market/france/#:~:text=France%20Power%20Consumption,are%20influenced%20by%20climate%20variations
27. Environmental Systems Research Institute (“ESRI”) France (2023). ‘Surfaces inondables par débordement de cours d’eau’. 17 August 2023. Updated 18 August 2023. Accessed on 24 February 2025. In French. https://www.arcgis.com/home/item.html?id=ad64f6b839e14af19ea94a96535349cf
28. European Environment Agency (“EEA”) (2019). ‘Adaptation challenges and opportunities for the European energy system: Building a climate‑resilient low‑carbon energy system’. EEA Report No. 01/2019. ISSN 1977‑8449. https://www.eea.europa.eu/en/analysis/publications/adaptation-in-energy-system
29. European Commission (“EC1”). (2023). ‘2023 Country Report – France’. June 2023. Institutional Paper 234. https://economy-finance.ec.europa.eu/system/files/2023-06/ip234_en.pdf
30. European Commission (“EC2”). ‘Energy and the Green Deal’. Accessed on 21 February 2025. https://commission.europa.eu/strategy-and-policy/priorities-2019-2024/european-green-deal/energy-and-green-deal_en
31. European Commission (“EC3”). ‘Horizon Europe’. Accessed on 27 February 2025. https://commission.europa.eu/funding-tenders/find-funding/eu-funding-programmes/horizon-europe_en
32. European Council. ‘Energy prices and security of supply’. Accessed on 21 February 2025. https://www.consilium.europa.eu/en/policies/energy-prices-and-security-of-supply/
33. Fan, J.H., Omura, A, and Roca, E. (2023). ‘Geopolitics and rare earth metals’. European Journal of Political Economy, Volume 78, June 2023, 102356. https://doi.org/10.1016/j.ejpoleco.2022.102356
34. Foreign Policy. (2023). ‘France’s Water War Has No End in Sight’. 25 September 2023. Accessed on 27 February 2025. https://foreignpolicy.com/2023/09/25/france-water-crisis-climate-environment-drought-agriculture/
35. France Diplomacy. ‘French policy on water and sanitation’. Updated February 2020. Accessed on 21 February 2025. https://www.diplomatie.gouv.fr/en/french-foreign-policy/development-assistance/other-major-sectors/french-policy-on-water-and-sanitation/
36. France Stratégie. (2024). ‘Policy brief: Water withdrawals and consumptions in France’. Republic Française. 18 April 2024. Accessed on 7 February 2025. https://www.strategie.gouv.fr/en/publications/water-withdrawals-and-consumptions-france
37. French Government. (2021). ‘La France doit devenir le « leader » mondial de l'hydrogène vert’. 1 October 2021. Modified on 17 June 2022. Accessed on 28 February 2022. In French. https://www.info.gouv.fr/actualite/la-france-doit-devenir-le-leader-mondial-de-l-hydrogene-vert
38. French Ministry for Europe and Foreign Affairs (“FMEFA”). (2020). ‘Strategy Report: France's International Strategy for Water and Sanitation (2020-2030)’. https://www.diplomatie.gouv.fr/IMG/pdf/eau_ang_cle0ac2e1.pdf
39. Gontkovičová, B. and Spišáková, E.D. (2023). ‘Climate and energy targets under Europe 2020 strategy and their fulfillment by member states’. Front. Environ. Sci. 11:1264770. https://doi.org/10.3389/fenvs.2023.1264770
40. Heymann, F., Milojevic, T., Covatariu, A. et. al. (2023). ‘Digitalization in decarbonizing electricity systems – Phenomena, regional aspects, stakeholders, use cases, challenges and policy options’. Energy. Volume 262, Part B, 1 January 2023, 125521. https://doi.org/10.1016/j.energy.2022.125521
41. Hornung, J. (2023). ‘Social identities and deadlocked debates on nuclear energy policy’, Journal of European Public Policy, 30:9, 1911-1935, DOI: 10.1080/13501763.2023.2215495
42. IDDRI. (2022). ‘How to accelerate renewable energies in France? The challenge of territorial integration and value sharing’. 29 November 2022. Accessed on 27 February 2025. https://www.iddri.org/en/publications-and-events/billet-de-blog/how-accelerate-renewable-energies-france-challenge
43. IEA, IRENA, UNSD, World Bank, WHO. (2020). ‘Tracking SDG 7: The Energy Progress Report’. World Bank, Washington DC. © World Bank. License: Creative Commons Attribution—NonCommercial 3.0 IGO (CC BY-NC 3.0 IGO). https://www.iea.org/reports/tracking-sdg7-the-energy-progress-report-2024
44. International Energy Agency (“IEA”). (2021). ‘France 2021: Energy Policy Review’. https://www.iea.org/reports/france-2021
45. LaVie. ‘Average water consumption in French households: Facts and figures’. Accessed on 7 February 2025. https://lavie.bio/en/what-is-the-water-consumption-of-french-households/
46. Le Monde. (2022). ‘Water ‘mega-basins’ stir up turmoil in western France’. 28 November 2022. https://www.lemonde.fr/en/france/article/2022/11/28/water-mega-basins-stir-up-turmoil-in-western-france_6005917_7.html
47. Leiren, M.D., Szulecki, K., Rayner, T., et. al. (2019). ‘Energy Security Concerns versus Market Harmony: The Europeanisation of Capacity Mechanisms’. Politics and Governance, 2019, Volume 7, Issue 1, Pages 92–104. DOI: 10.17645/pag.v7i1.1791
48. Lemoine, A. (2021). ‘Indicateurs d’impacts des changements hydroclimatiques sur la gestion des réservoirs hydroélectriques’. In : ‘Milieux et Changements globaux’. Sorbonne Université, 2021. Français. NNT : 2021SORUS107. tel-03416740. In French. https://theses.hal.science/tel-03416740v1
49. Liefferink, D., Wiering, M., and Uitenboogaart, Y. (2011). ‘The EU Water Framework Directive: A multi-dimensional analysis of implementation and domestic impact’. Land Use Policy 28 (2011) 712-722. doi:10.1016/j.landusepol.2010.12.006
50. Macrotrends. ‘France Population 1950-2025’. https://www.macrotrends.net/global-metrics/countries/fra/france/population
51. Magagna D., Hidalgo González I., Bidoglio G., et. al. (eds) (2019). ‘Water-Energy Nexus in Europe’. Publications Office of the European Union, Luxembourg, 2019, ISBN 978-92-76-03385-1, doi: 10.2760/968197, JRC115853
52. Mazzega, P., Therond, O., Debril, T., et. al. (2014). ‘Critical multi-level governance issues of integrated modelling: An example of low-water management in the Adour-Garonne basin (France)’. Journal of Hydrology 519 (2014). 2515-2526. http://dx.doi.org/10.1016/j.jhydrol.2014.09.043
53. Mignon, I. and Bergek, A. (2016). ‘System- and actor-level challenges for diffusion of renewable electricity technologies: an international comparison’. Journal of Cleaner Production 128 (2016) 105-115. http://dx.doi.org/10.1016/j.jclepro.2015.09.048
54. Millot, A., Krook-Riekkola, A., and Maïzi, N. (2020). ‘Guiding the future energy transition to net-zero emissions: Lessons from exploring the differences between France and Sweden’. Energy Policy (2020) 111358. https://doi.org/10.1016/j.enpol.2020.111358
55. Ministères Territoires Écologie Logement (“MTEL”). (2021). ‘Water Resources and Use: Extract from France's 2021 Environmental Performance Review’. Accessed on 10 February 2025. https://www.statistiques.developpement-durable.gouv.fr/media/5639/download?inline
56. Ministry of the Ecological Transition and Territorial Cohesion (Ministères Aménagement du territoire Transition écologique) (“MATTE”). (2023). ‘France and the nine planetary boundaries’. October 2023. Accessed on 21 January 2025. https://www.statistiques.developpement-durable.gouv.fr/edition-numerique/la-france-face-aux-neuf-limites-planetaires/en/
57. NASDAQ. (2025). ‘Rare Earths Reserves: Top 8 Countries’. https://www.nasdaq.com/articles/rare-earths-reserves-top-8-countries
58. OECD. (2012). ‘OECD Environmental Outlook to 2050’. OECD Publishing. http://dx.doi.org/10.1787/9789264122246-en
59. Pitron, G. (2022). ‘The Geopolitics of the Rare-Metals Race’. The Elliot School of International Affairs. The Washington Quarterly 45:1 pp. 135–150. https://doi.org/10.1080/0163660X.2022.2059146
60. Politico. (2023). ‘Protesters clash with police over water reservoirs in France’. 25 March 2023. Accessed on 27 February 2025. https://www.politico.eu/article/protesters-clash-with-police-over-water-reservoirs-in-france/
61. Poupeau, F. and O’Neill, B.F. (2024). ‘Research on the Greening of Water Policy Needs to Move Beyond Supply and Demand-Oriented Logics to Achieve Water Sustainability for All’. World Water Policy, 2025; 0:1–6 https://doi.org/10.1002/wwp2.12261
62. Public Utilities Board (“PUB”). ‘Desalinated Water’. Accessed on 27 February 2025. https://www.pub.gov.sg/Public/WaterLoop/OurWaterStory/DesalinatedWater
63. Raimonet, M., Thieu, V., Silvestre, M., et. al. (2018). ‘Landward Perspective of Coastal Eutrophication Potential Under Future Climate Change: The Seine River Case (France)’. Front. Mar. Sci. , 15 May 2018. Sec. Marine Biogeochemistry. Volume 5, 2018. https://doi.org/10.3389/fmars.2018.00136
64. Réseau de Transport d’Électricité (“RTE”). (2022). Bilan Électrique 2022: Principaux Résultats. In French. https://www.rte-france.com/actualites/bilan-electrique-2022
65. Rey, D., Pérez-Blanco, C.D., Escriva-Bou, A., et. al. (2019) ‘Role of economic instruments in water allocation reform: lessons from Europe’, International Journal of Water Resources Development, 35:2, 206-239, DOI: 10.1080/07900627.2017.1422702
66. RFI. (2024). ‘More tropical nights as southeast tipped for France’s biggest temperature rise’. 23 May 2024. Accessed on 24 February 2025. https://www.rfi.fr/en/france/20240523-more-tropical-nights-as-southeast-tipped-for-france-s-biggest-temperature-rise
67. Ritchie, H., Roser, M., and Rosado, P. (2022). ‘France: Energy Country Profile’. Accessed on 9 February 2025. https://ourworldindata.org/energy/country/france
68. Rouillard, J., Babbitt, C., Pulido-Velazquez, M., et. al. (2021). ‘Transitioning out of Open Access: A closer look at Institutions for Management of Groundwater Rights in France, California, and Spain’. Water Resources Research, 57, e2020WR028951. https://doi.org/10.1029/2020WR028951
69. Roussary, A. (2014). ‘The reorganisation of drinking water quality governance in France. Responsibility-based governance and objective-driven policy setting in question’. Revue d’études en Agriculture et Environnement, Vol. 95, N°2, 2014. pp. 203-226; doi : 10.4074/ S196696071401203
70. Rowbottom, J., Graversgaard, M., Wright, I., et. al. (2022). ‘Water governance diversity across Europe: Does legacy generate sticking points in implementing multi-level governance?’ Journal of Environmental Management 319 (2022) 115598 https://doi.org/10.1016/j.jenvman.2022.115598
71. Saur. (2024). ‘Stereau, a subsidiary of the Saur Group, to supply 10,000 m³ of drinking water per day to Mayotte’. 10 September 2024. https://www.saur.com/press-releases/stereau-a-subsidiary-of-the-saur-group-to-supply-10-000-m%C2%B3-of-drinking-water-per-day-to-mayotte
72. STIP Compass. (2023). ‘The French Green Hydrogen Plan’. 29 August 2023. Accessed on 28 February 2025. https://stip.oecd.org/stip/interactive-dashboards/policy-initiatives/2023%2Fdata%2FpolicyInitiatives%2F99993930
73. SUEZ. (2023). ‘In Nice, a walk into the future’. 12 October 2023. https://www.suez.com/en/news/in-nice-a-walk-into-the-future
74. Tabary, L. (2023). ‘L’eau et l’énergie dans le changement climatique’. In : ‘Responsabilité & Environnement: L’eau et le changement climatique’. Annales des Mines, No. 112, October 2023. 71-82. Institut Mines Télécom. ISSN 2271-8052 (online)/ ISSN 1268-4783 (print). In French. https://www.annales.org/re/2023/re_112_octobre_2023.html
75. UNESCO UN-Water. (2020). ‘The United Nations World Water Development Report 2020: Water and Climate Change’. Paris, UNESCO. https://www.unwater.org/publications/un-world-water-development-report-2020
76. Université Paris-Saclay. (2016). ‘Potable Water: A Leak in the Pipes’. https://ens-paris-saclay.fr/en/actualite/potable-water-leak-pipes
77. Venkatesh, G., Chan, A., and Brattebø, H. (2014). ‘Understanding the water-energy-carbon nexus in urban water utilities: Comparison of four city case studies and the relevant influencing factors’. Energy 75 (2014) 153-166. http://dx.doi.org/10.1016/j.energy.2014.06.111
78. World Economic Forum (“WEF”). (2022). ‘Singapore is leading the way in recycling wastewater. What can it teach the rest of the world?’ 30 November 2022. https://www.weforum.org/stories/2022/11/singapore-wastewater-recycling-water-stressed/
79. World Nuclear Association (“WNA”). ‘How can nuclear combat climate change?’ Accessed on 21 February 2025. https://world-nuclear.org/nuclear-essentials/how-can-nuclear-combat-climate-change
80. National Water Reuse Action Plan (“WRAP”). (2023). ‘From Water Stressed to Water Secure: Lessons from Israel’s Water Reuse Approach’. 2022 U.S. Delegation Summary. March 2023. https://www.epa.gov/system/files/documents/2023-03/From%20Water%20Stressed%20to%20Water%20Secure%20-%20Lessons%20from%20Israel%27s%20Water%20Reuse%20Approach.pdf
81. Zaporozhets, V. (2015). ‘Voting power and decision making in environmental committees: The case of French water agencies’. Water Resources and Economics 12 (2015) 40-51. http://dx.doi.org/10.1016/j.wre.2015.09.002
82. Images: The Telegraph (https://www.telegraph.co.uk/business/2022/08/03/water-shortage-cripples-nuclear-reactors-france/)